Le bilan de la scolarisation dans un village rural de Kabylie : 1958 – 1999. Le cas de Attouche

Hamid CHAOUCHE (Auteur)
109 – 125
Tizi-Ouzou et la Kabylie : mutations sociales et culturelles
N° 54 — Vol. 15 — 31/12/2011

Introduction

Cet article s’appuie sur les données que nous avons recueillies dans le cadre d’une enquête réalisée en 1999 dans la commune de Makouda au lieu-dit Attouche. Ce travail avait pour objectif d’appréhender les multiples implications de la scolarisation dans cette région rurale qui a connu l’école beaucoup plus tardivement. Or, Attouche n’a pas été suffisamment touchée par l’école française puisque son implantation dans la région a mis du temps pour se réaliser. Si bien que le gros des effectifs de scolarisés de cette région sont sortis de l’école algérienne. Au cours de cette étude, nous tenterons de faire le bilan de ce processus de scolarisation dans notre région depuis le début de l’école française, en 1958 jusqu’à 1962 puis de l’école algérienne de l’indépendance à 1999[1].

Il s’agit de revenir tout au long de cette contribution sur ces quatre décennies de scolarisation qui ont permis à la région d’évoluer d’une situation de pénurie scolaire à une autre marquée par une accumulation du capital scolaire.  

Pour ce faire, nous allons retracer dans cette rétrospection le cheminement parcouru par l’école au sein de notre région afin d’établir les moments forts qui ont marqué ce processus. Nous nous intéresserons en particulier à l’évolution des infrastructures scolaires à Attouche au niveau du Primaire, du Moyen et du Secondaire. Puis, nous aborderons le volet concernant les enseignants pour voir la situation des écoles de la région sur le plan de l’encadrement et des conditions de scolarisation au fil des années. Enfin, en dernier lieu, il sera question des effectifs ayant fréquenté l’école à différents niveaux afin d’établir l’état de rendement de l’institution scolaire dans la région depuis le Primaire jusqu’à l’Université. D’un autre coté, en délivrant ces différents chiffres relatifs à la progression de la scolarisation dans la région d’Attouche, nous introduirons en parallèle, quelques-unes des conditions matérielles, sociales et culturelles dans lesquelles a fonctionnées cette école durant quatre décennies.

L’école française d’Attouche : un rendement insignifiant

Le premier contact de la population locale avec l’école coloniale s’est réalisé à Makouda distante d’environ 5 km de notre région d’enquête. Cependant, même si le chef-lieu de cette commune a bénéficié d’une école dès 1896[2], les élèves venant d’Attouche, à partir des années 1940 étaient très réduits. Les rares scolarisés de la région qui ont fait l’école primaire de Makouda constituaient des cas rares. Ils appartenaient à un milieu social favorisé en raison des liens privilégiés avec les français à l’exemple des enfants du Caïd et des Amin des villages d’Attouche. A ce manque d’empressement chez les enfants de la région pour rejoindre les bancs de l’école française, on trouve plusieurs explications. Parmi toutes ces raisons, il y a notamment l’éloignement géographique et l’écart culturel entre l’école et la population locale. A celles-ci s’ajoutent également les conditions défavorables dans lesquelles fonctionnait cette institution : manque de locaux et le nombre insuffisant de maîtres.

Par conséquent, l’école française de Makouda n’a eu aucun impact sur la population d’Attouche. En effet, après plusieurs décennies de fonctionnement[3], le nombre d’enfants ayant fréquenté cette école n’a pas dépassé 08 élèves[4]. Tous étaient des garçons et avaient une famille à Makouda qui les hébergeait durant toute l’année scolaire. Après l’école de Makouda, ces élèves ont eu des parcours différents. Mais rares étaient ceux qui ont poussé encore leurs études pendant quelques années à Dellys, Tizi-Ouzou ou à Alger. Si bien que la plupart sont redevenus fellahs comme les autres villageois. Deux anciens élèves sont aujourd’hui émigrés dont un était Harki. Alors que deux autres ont travaillé comme cadres à Alger. L’un deux était ingénieur informaticien à Air Algérie[5] et le deuxième, cadre financier dans une société nationale. Le dernier, le plus âgé d’entre eux et le seul à être décédé parmi tous ces anciens élèves, était un marabout. C’était lui qui se chargeait de tout le courrier de la région, il avait à l’époque une boîte postale à cet effet au bureau de Poste de Tizi-Ouzou.          

Par ailleurs, après la fermeture de l’école française de Makouda au début de la guerre, la population locale a renoué avec l’enseignement français, à Attouche. Quoique cette nouvelle expérience n’a duré que 4 années, de 1958 à 1962, elle s’est étalée sur deux périodes. Au début, l’enseignement se faisait, durant les premiers mois, au village de Tassedart dans une huilerie qui a été aménagée pour servir de classe aux élèves. Puis, l’école a été déménagée à Ighil Kamoum, près du village Izaroukene au sein de la SAS[6] où étaient regroupés tous les villageois d’Attouche. Une telle initiative nous laisse supposer que la programmation de cette école n’est pas le fruit d’une demande sociale. Au contraire, elle obéissait à des considérations politiques et militaires ayant pour objectif de dissimuler les contradictions de cette entreprise dont ses concepteurs faisaient, note Pierre Bourdieu «multiplier les actions de façade, propres à tromper les observateurs superficiels ou prévenus, ouverture de routes, édification des habitations pourvues d’un minimum de confort, installation des écoles et de dispensaires»[7]

D’autre part, contrairement à Tassedart où l’enseignement se faisait dans une huilerie, à Ighil Kamoum par contre, l’école était dotée de plusieurs équipements : un tableau, des tables et des chaises. A son ouverture en 1958, elle fonctionnait avec deux classes en préfabriqués dont les baraquements sont encore visibles aujourd’hui. Ensuite, vers 1960, on a ajouté deux autres classes en durs en raison du nombre d’élèves qui avait atteint, à la rentrée de cette même année, 37 élèves dont 5 filles[8]. Cette augmentation de nombre d’élèves à partir de cette année s’explique notamment par le regroupement de la population locale à partir de 1960 autour de la SAS d’Ighil Kamoum. Toutefois, les instituteurs étaient encore des militaires puisque les civils n’ont commencé à intégrer ce corps d’enseignants que vers la fin de la guerre. Les anciens élèves se souviennent des noms comme Vincent, Cervantès, Cheval, Dumas, Carrière, Poe, etc. Celui-ci était le dernier français à avoir quitté la région. C’était en 1964.

Cependant, en dépit des efforts fournis pour rapprocher l’école française des élèves de la région, la population locale persiste encore dans son refus de l’enseignement français. Puisque, de nouveaux obstacles se sont dressés entre les deux parties pour réduire son influence parmi la population. L’emplacement de cette école, l’usage de la coercition pour forcer les élèves à rejoindre les classes et la guerre sont autant de raisons qui ont contribué à réduire sa portée. Tous ces facteurs se sont conjugués pour réduire le nombre d’élèves originaires d’Attouche qui ont fréquenté l’école française d’Attouche. Car, après quatre années de scolarisation, ils n’étaient que 107 élèves dont 18 filles à avoir fait cette école depuis son ouverture en 1958 jusqu’à 1962. La promotion scolaire de 1958 que nous avons choisie dans notre échantillon pour son niveau de représentativité illustre les débuts de la scolarisation dans la région. Elle nous livre tous les détails sur le fonctionnement de l’école française d’Attouche notamment sur le plan des effectifs, de rendement et de la nature du cursus scolaire accompli par les élèves.

En matière d’effectifs, par exemple, cette promotion avait 27 élèves inscrits en première année dont 5 filles. Le nombre de filles qui ont fréquenté l’école durant cette première année scolaire et les années suivantes est infime comparativement à celui des garçons. Cette disparité va se poursuive également avec l’école algérienne jusqu’au milieu des années quatre-vingt en raison de l’écart culturel qui existait entre la population locale et l’institution scolaire. De plus, l’école d’Attouche avait, jusqu’à 1972, un accès difficile qui ne favorisait pas les enfants de certains villages de la région, en particulier les filles. Ainsi, dès le lancement de cette scolarisation, nous retrouvons déjà l’un des traits particuliers qui caractérisent le processus de scolarisation de la région. A savoir, le décalage qui existe entre le nombre de filles scolarisées et celui des garçons. D’un autre côté, sur le plan de l’âge, la plupart de ces élèves avaient, à la rentrée, plus de 6 ans excepté 5 garçons et 2 filles. Sinon, le reste des élèves avaient tous, à la rentrée, 7 ans et plus dont un garçon avait 11 ans. C’est un autre trait que nous retrouvons également au début du lancement de l’école algérienne. Compte tenu de cette situation, les meilleures élèves sautaient les classes afin de rattraper ce retard.

Enfin, pour ce qui est du cursus scolaire de ces élèves, nous avons distingué deux traits majeurs : une progression lente à cause des redoublements répétitifs et un important échec scolaire. Puisque sur les 22 garçons inscrits en première année au cours de l’année scolaire de 1958/1959, 11 d’entre eux n’ont atteint le C.E.M.1 qu’à l’année scolaire de 1964-1965 et 4 autres élèves, le C.M.2 au cours de la même année scolaire. En revanche, un autre élève a atteint le C.E.2 durant l’année scolaire de 1962/1963 et un autre le C.F.E. sans avoir eu plus de précision sur son cas. Quant aux autres, un élève a quitté très tôt l’école pour faire l’enseignement coranique à la mosquée du village alors qu’un autre est parti avec sa famille pour s’installer à Alger. Concernant les filles, 3 d’entre elles ont quitté l’école sans raison apparente[9], ni sur le motif du départ ni sur le niveau d’études atteint alors que la quatrième est allée avec sa famille à Dellys. Au total, ils ne sont que 4 élèves dont une fille à avoir atteint le C.E.P.E. Parmi ceux-ci, 2 garçons ont été reçus au C.E.P.E. puis, au B.E.M. mais un seul au BAC. Il est actuellement enseignant à l’université de Bab-Ezzouar, à Alger.

L’école algérienne : de bons espoirs aux faibles résultats

L’avènement de l’école algérienne, en 1962, a introduit plusieurs changements par rapport à la période précédente. Sur le plan des infrastructures scolaires, l’école primaire d’Attouche qui a hérité des anciennes bâtisses servant à l’école française, s’est renforcée avec la construction de nouvelles classes. Car, les changements politiques survenus en 1962, ont suscité un nouvel élan chez la population de la région. Une demande de l’instruction commence à se faire sentir parmi les villageois dont le mouvement a également entraîné des filles. Ce nombre croissant en matière d’effectifs dessine ainsi les premières courbes ascendantes[10] du processus de scolarisation de la région. Cette évolution en matière d’effectifs et de rendement est liée non seulement à l’amélioration des conditions matérielles et humaines de scolarisation mais aussi aux rapports qu’entretient la population locale avec cette nouvelle institution au village.

C’est pourquoi avant de dresser le bilan quantitatif et qualitatif de l’école algérienne dans la région, nous tenterons, en premier lieu, de reconstituer la progression des infrastructures scolaires qui ont porté le processus de scolarisation d’Attouche de 1962 jusqu’au 1999.

Les infrastructures scolaires : du manque criant à la disponibilité de classes et d’écoles

L’école primaire d’Attouche n’a été réceptionnée qu’à la rentrée scolaire de septembre 1972. Durant toute une décennie, cette école s’est contentée de reprendre les infrastructures qui servaient à l'école française au sein de la SAS d’Ighil Kamoum. Elle a continué à fonctionner avec quatre classes, deux en durs et deux autres en préfabriqués jusqu’à 1968, date à laquelle fut ajoutée, sur les lieux, une autre classe en dur[11]. Désormais, l’école primaire d’Attouche est située au milieu de tous les villages de la région. A son inauguration, en 1972, elle comptait 7 classes. Mais, compte tenu du flux continu en matière d'effectifs, les responsables locaux ont ajouté un peu plus tard, au cours de cette décennie (soixante-dix), 5 autres classes, 2 en 1978 et 3 autres en 1979. En tout, l'école algérienne d’Attouche a fonctionné durant les années soixante-dix avec 12 classes. Cependant, cette construction de nouvelles classes sur le même lieu chaque fois que le besoin se faisait sentir sur le plan des divisions pédagogiques, va serrer l'étau autour de cette école à cause de l'exiguïté des lieux dont le summum va être atteint la décennie suivante.

En effet, durant les années quatre-vingt, l'école primaire d’Attouche s'est encore étirée vers tous les côtés pour permettre d'ajouter de nouvelles classes afin de contenir tous les élèves qui se présentent à chaque nouvelle rentrée scolaire. Car au cours de cette décennie, les effectifs ont été multipliés par deux par rapport à la précédente[12]. Ainsi, cette école a bénéficié encore de 5 classes, 2 en 1981 et 3 autres en 1983 après avoir fonctionné avec 12 classes durant les années soixante-dix. Vu le nombre de divisions dont elle dispose, cette école s'est ensuite scindée en deux établissements distincts avec un personnel enseignant et administratif différent. De plus, désormais, les élèves d’Attouche reçus en 6éme sont admis au C.E.M. de Makouda qui a bénéficié d’un collège à la rentrée de 1982. Quant aux lycéens, ils continuent de fréquenter les lycées de Tizi-Ouzou, de Dellys et de Tigzirt qui recevait uniquement des garçons, à partir de 1985.

En revanche, la décennie quatre-vingt-dix a inauguré une nouvelle étape dans le processus de scolarisation de la région. Puisque toutes les évolutions qui étaient en gestation durant les années précédentes ont connu leur aboutissement à partir de cette décennie. C'était en effet durant ces années quatre-vingt-dix qu'a été desserré l'étau dans lequel fut prise l'école primaire d’Attouche. Or, cette école fonctionnait tout au long des décennies précédentes à mi-temps et avec des classes surchargées. De plus, l'exiguïté des lieux et l’emplacement de cette école constituaient une source de dangers pour les élèves[13]. Cette évolution est rendue possible grâce à l'ouverture de deux autres écoles primaires dans deux villages d’Attouche. Il s'agit du village de Tigoulmamine qui a réceptionné son école en 1993. Elle fonctionnait alors avec 4 classes puis 9 classes et avec 13 classes depuis 1998. Le deuxième village, c'est celui de Machera qui a bénéficié également d'une école avec 4 classes à partir de septembre 1996.

En somme, Attouche dispose aujourd'hui de 4 écoles primaires au sein desquelles sont répartis les élèves de la région selon les villages et leur distance par rapport à ces établissements. Compte tenu de cette disponibilité d’infrastructures scolaires au niveau de la région et le recul du nombre d’inscrits en raison de la baisse de la natalité, les deux écoles primaires qui se trouvent au centre d’Attouche n'utilisent que 14 classes sur l'ensemble des 20 classes qu'elles comptent en 1999. C'est dans ce contexte que l'un des directeurs de ces deux écoles a ouvert, en 1998, une classe préparatoire qui accueille l’année suivante, en 1999, 30 élèves âgés entre 4 et 5 ans. D’autre part, chacune de ces 4 écoles a son propre personnel où figurent un directeur et des instituteurs de la région à côté d'autres collègues issus de différentes régions. Ils sont en nombre de 42 instituteurs dont un peu plus de la moitié, c'est-à-dire 23 sont des femmes et parmi eux, nous avons comptabilisé aussi 11 instituteurs dont 2 femmes de la même région. En plus de ces établissements primaires, Attouche compte également un collège réceptionné en 1990 puis un lycée, depuis 1997. Il est situé à mi-chemin entre Attouche et Makouda.

Figure 1 : Evolution de nombre de scolarisés de Attouche selon les années scolaires et le cycle d’enseignement de 1958 à 1999

Figure 2 : Evolution des effectifs de l’enseignement primaire de 1958 à 1999 selon l’année scolaire et le sexe

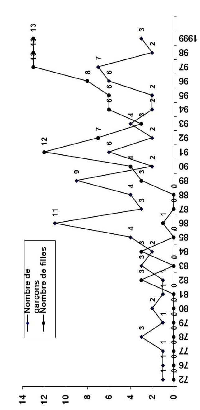
Figure 3 : Evolution des effectifs de l’enseignement moyen selon le sexe et l’année scolaire


Figure 4 : Evolution des effectifs de l’enseignement secondaire selon le sexe et l’année scolaire

 

Figure 5 : Evolution des effectifs de l’université selon le sexe et l’année scolaire

 

Le rendement de l’école algérienne d’Attouche : forte fréquentation au primaire, moyenne au collège et faible ailleurs

Après quatre décennies de scolarisation, l’école primaire d’Attouche a permis de scolariser plusieurs générations d’enfants. Le nombre des élèves va toujours crescendo au fur et à mesure de l’amélioration des conditions matérielles et humaines de scolarisation. Les progrès en matière d’infrastructures ont amené aussi les filles d’Attouche à rejoindre les bancs de l’école après avoir accusé au départ du retard par rapport à leurs confrères. Néanmoins, la plus grande partie de ces scolarisés n’a pas dépassé le primaire. Puisque ils n’ont commencé à rejoindre le collège qu’à partir de 1964 et le lycée en 1968. Quant à l’université, il a fallu attendre jusqu’à 1972. Ce retard est encore significatif pour le cas des filles d’Attouche, car la plupart quittent l’école durant les premières années du primaire notamment au début de la scolarisation de la région. Les premières filles n’ont accédé au C.E.M. qu’en 1975, puis le lycée en 1979 et, enfin, l’université, en 1982.

Au total, de 1962 à 1999, l’école primaire d’Attouche a accueilli dans ses classes 4.267 élèves dont 44,83% (1913) se composaient de filles. Sur ces 4267 élèves qui ont fréquenté le primaire durant toute cette période, 49,14% ont accédé au collège soit 2097 élèves et parmi lesquels les filles occupaient un taux de 46,78%. Sur l’ensemble des élèves qui ont fait l’enseignement primaire, 790 (18,51%) d’entre eux ont été admis au lycée dont 51,51% étaient des filles. Quant au bac, ils sont seulement 167 (3,91%) à avoir obtenu ce diplôme dont 51,49% de filles. En termes de décennies, sur les 4.267 élèves qui ont fréquenté le primaire de 1962 à 1999, 11,7% ont été scolarisés entre 1962 et 1969 contre 19,5% durant la deuxième décennie, c'est-à-dire entre 1970 -1979. Ce taux va encore progresser pour atteindre 35,1% durant la troisième décennie 1980-1989 puis 33,6% au cours de la dernière décennie, 1990-1999.

Par ailleurs, concernant le collège, sur les 2.097 collégiens issus de l'école algérienne entre 1962-1999, seulement 1% d'entre eux a fait l'enseignement moyen entre 1962-1969. Ce taux va se muer faiblement pour atteindre 5,1% au cours de la deuxième décennie 1970-1979. Néanmoins, la situation va se renverser à partir des années quatre-vingt, puisque 35,3% d’élèves originaires d’Attouche ont fait leur collège durant cette décennie. Cette progression va se confirmer au cours de la dernière décennie car le nombre d’élèves ayant fréquenté le collège de 1990 à 1999 a atteint 58,4%. Quant au lycée, le taux de fréquentation de l'enseignement secondaire est estimé à 0,8% durant les années soixante sur le total de 796 lycéens que compte la région. Puis, 3,2% durant les années soixante-dix contre 24,1% pour les années quatre-vingt et enfin 70,7% durant les années quatre-vingt-dix. Concernant l'université, sur les 167 bacheliers que compte la région de 1962 à 1999, nous n'avons comptabilisé aucun bachelier durant la décennie soixante. Mais, ils sont 4,1% à avoir obtenu ce diplôme au cours de la décennie soixante-dix contre 29,3% durant la décennie quatre-vingt et 66,4 % durant la dernière, 1990-1999.

Les filles réussissent mieux que les garçons

À la longue, l’amélioration des conditions de scolarisation dans la région et le changement dans le rapport qu’entretient la population locale avec l’institution scolaire a profité beaucoup plus aux filles qu’aux garçons. Or, en dépit de toutes les difficultés rencontrées par les filles d’Attouche pour se frayer un chemin au début de la scolarisation, elles ont aujourd’hui tendances à surpasser les garçons dans tous les cycles d’enseignement. En effet, quoique du point de vue quantitatif, les garçons ayant fréquenté le primaire sont plus nombreux que les filles, du point de vue qualitatif et en matière de rendement, celles-ci sont plus efficaces que leurs confrères. Ainsi, les filles d’Attouche sont en train de devancer les garçons en s'imposant par le haut. Par exemple, au primaire, la ligne graphique qui traduit les effectifs des filles frise tantôt celle des garçons et tantôt autre la dépasse. En revanche, pour le cas des autres cycles, la cadence va se décanter davantage en faveur des filles.

À titre de comparaison, les chiffres en termes de sexes et de paliers d’études qu’offrent les quatre décennies de scolarisation parcourues par l’école algérienne de 1962 à 1999 sont les suivants. Sur les 500 élèves ayant fréquenté le primaire durant la première décennie, c’est-à-dire entre 1962 et 1969, 33,2% étaient des filles. Mais, aucune fille n’a fait le collège, le lycée ou l’université durant cette décennie. Par contre, le nombre de garçons ayant fréquenté le collège durant ces années était de 21 et pour le lycée ils n’étaient pas plus de 7 lycéens et aucun autre garçon pour l’université. Et sur les 833 élèves ayant été au primaire durant la décennie 1970, 39,86% étaient des filles. Au même moment, les filles d’Attouche font leur entrée au collège et au lycée. Ainsi, des 108 collégiens de cette décennie, 20% étaient des filles et sur 26 lycéens ayant fréquenté le lycée durant cette période, 23% d’entre eux étaient également des filles.

Cette dynamique sera maintenue durant la décennie 1980, car sur les 1500 élèves ayant fréquenté le primaire au cours de ces années, 46,6% étaient des filles. Elles sont en revanche 44,61% à avoir fait le collège sur les 742 collégiens et 37,5% le secondaire sur les 192 lycéens de cette décennie. En outre, la décennie 1980 se distingue des précédentes par l’accès des filles à l’université avec un taux de fréquentation évalué à 20,41% sur 49 bacheliers reçus au cours de cette décennie. Les statistiques évoluent encore à l’avantage des filles dès le primaire, à partir des années 1990. En effet, c’est durant cette période que les filles rattrapent leurs confrères au primaire avec un taux de fréquentation de l’enseignement primaire estimé à 49,93% sur les 1434 élèves. Mais elles les devancent pour la première fois au collège avec 51,55% sur 1226 collégiens et au lycée avec 58,41% de fréquentation de l’enseignement secondaire sur les 565 lycéens de cette décennie. Enfin concernant l’université, les filles couronnent toute cette progression avec un taux de 68,47% bachelières sur les 111 admis durant cette décennie.

Cette progression maintenue en matière de réussite chez les filles comparativement aux garçons s'explique par plusieurs raisons qui trouvent leur origine dans la société. En effet, les années quatre-vingt-dix se distinguent par l'émergence d'un nouveau discours faisant le bilan de l'école algérienne qui s'est soldé par un échec cuisant dans tous les domaines. Les journaux et les partis politiques servent de relais dans la vulgarisation de ce discours. A l’exemple de cet extrait d'un article de journal : «les statistiques font que l'école algérienne est celle de l'échec. Ses victimes se comptent en millions d'individus éjectés sans avoir appris à maîtriser un quelconque savoir. Des millions d'individus qui subissent très tôt les affres de l'exclusion[14]». Ce discours pessimiste colporté par les mass media à travers l'espace public trouve aussi écho parmi la population scolaire notamment les garçons. Ceux-ci préfèrent quitter l'école pour faire carrière ailleurs, travailler ou rester tout simplement sans rien faire. A contraire, les filles s’investissent davantage à l’école car l’institution scolaire revêt pour elles un autre sens.

En outre, les multiples diplômés universitaires qui subissent le chômage aujourd'hui au village ne motivent pas davantage les jeunes générations. D'autre part, les villages kabyles connaissent aujourd'hui l'émergence de nouveaux jeux électroniques qui attirent beaucoup les enfants notamment les garçons après l'école et les parents ont de plus en plus du mal à les retenir à la maison[15]. Ils font également du sport dans des salles ouvertes à cet effet au village comme le cas de notre région où ces jeunes enfants s'initient au Karaté et au Vô-Vietnam. Par conséquent, l'école ne constitue plus aujourd'hui le seul centre d'intérêt pour ces enfants. Quant aux filles, quoiqu'elles sont, elles aussi, influencées et conscientes de cette situation, elles sont en revanche plus appliquées au travail, car l'école constitue pour elles le seul moyen pour s'affranchir des contraintes qui plantent leurs consœurs illettrées au village.

Conclusion

Bien que le rendement de l’école algérienne d’Attouche reste largement insuffisant, la région commence à se dépaysanniser et à se prendre en charge grâce au travail initié par l’entremise de l’institution scolaire. En effet, au bout de quatre décennies de scolarisation au sein des villages d’Attouche, cette école a produit des enseignants qui prennent aujourd’hui en charge le fonctionnement de cette même école qui les a formés. Après les enseignants français, les coopérants orientaux et d’autres enseignants venus de toute la Kabylie, l’école primaire d’Attouche a accueilli le premier instituteur de la région, F. Mohamed, en 1974. Cette première nomination a annoncé l'arrivée d'autres instituteurs et institutrices qui vont rejoindre les écoles de la région au fil des années.

Ainsi, le nombre d'enseignants originaire d’Attouche qui était de 9 instituteurs durant les années 1970, a atteint 17 au cours des années quatre-vingt. Parmi eux, nous avons dénombré la présence d'institutrices dont la première a commencé à y exercer en 1982 et trois autres l'ont rejointe en 1986. En outre, d’autres enseignants exercent également dans le collège et le lycée d’Attouche. Néanmoins, malgré l'émergence de ces instituteurs, les autres régions de Kabylie continuent à pourvoir encore en instituteurs les écoles primaires d’Attouche. De même qu’Attouche commence à fournir ses enseignants et ses instituteurs pour d’autres régions où ils exercent dans des collèges et des lycées. Quatre autres enseignants travaillent à l’université de Tizi-Ouzou et de Bab-Ezzouar, à Alger.

La scolarisation a permis également de produire des cadres et des fonctionnaires qui travaillent dans la Commune et la Daïra de Makouda. D’autres exercent aussi dans d’autres institutions publiques au niveau régional et national. Sur le plan politique, Attouche assure aussi sa propre autonomie, car quelques-uns de ses scolarisés ont été élus présidents d’Assemblée populaire communale (maires) ou vice-présidents (adjoints au maire). De plus, nombreux parmi les anciens scolarisés sont également tentés par les partis politiques. Ils commencent à se positionner sur l’échiquier politique local et national. C’est le cas aussi des professions libérales parmi lesquelles nous avons recensé des médecins, des vétérinaires, etc. Mais le mérite de l’école dans cette région rurale, c’est aussi le renouvellement sans cesse du corps de métiers qui existe à Attouche. Elle a favorisé l’apparition de nouveaux métiers à l’exemple de mécaniciens, électriciens, chauffeurs, écrivains publics, peintres, soudeurs, etc. Le tout aux dépens des anciennes activités notamment le travail agricole qui n’attire plus les scolarisés d’Attouche. L’agriculture est dévalorisée au fur et à mesure de l’émergence de nouveaux métiers.

Sigles utilisés dans le texte (Ndr)

B.E.M. : Brevet de l’enseignement moyen.

C.E.2 : Cours élémentaire 2ème année.

C.E.M. 1 : Cours élémentaire moyen 1ère année.

C.E.P.E. : Certificat d’études primaire élémentaire.

C.F.E. : Cours de fin d’études.

C.M. 2 : Cours moyen 2ème année.

R.G.P.H. : Recensement général de la population et de l’habitat.

S.A.S. : Section Administrative Spécialisée (armée française).


Notes

[1] Nous avons réalisé notre enquête en 1999.

[2] Nos informateurs se souviennent encore des directeurs de l’école de Makouda à l’exemple de Lirmer (1896-1903), Itroit (1903-1925) et le dernier, Christian Buono, est l’auteur de L’Olivier de Makouda, Paris, Ed. Trésias, 1991.

[3] Pour rappel, l’école française de Makouda a été fermée au lendemain du déclenchement de la guerre, en 1954, après avoir été réquisitionnée par les militaires. Cf, Buono, C., Op. cit. p. 10.

[4] Nous avons reconstitué ce chiffre avec l’aide de nos informateurs qui se souviennent de plusieurs autres détails tant la réalité était marquante.

[5] Il est aujourd’hui à la retraite.

[6] Section Administrative spécialisée.

[7] Bourdieu, P.et Sayad, A., Le déracinement, Paris, Éd. de Minuit, 1964, p. 40.

[8] Les informations concernant cette promotion, nous les avons recueillies avec nos propres soins auprès des établissements scolaires de la région d’Attouche en consultant notamment les ‘‘registres d’entrées et de sorties des élèves’’.  

[9] Nous n’avons pas trouvé sur le registre d’entrée et de sortie des élèves consulté au niveau de l’école primaire d’Attouche les raisons de ces départs.

[10] Cf. les figures suivantes.

[11] Après 1972, ces infrastructures servant à l’école française puis à l’école algérienne étaient devenues, pour quelques années encore, un centre de formation professionnelle.

[12] Cf. les figures ci-dessous.

[13] Cette école est longée par la route principale qui traverse le centre d’Attouche. A leur sortie de l’école, les élèves se retrouvent au milieu de la chaussée. C’est pourquoi les accidents sont courants durant toutes les années scolaires et plusieurs élèves, non encore habitués à la circulation, ont été percutés par des voitures dont un accident était mortel. Depuis, les responsables ont construit un mur tout au long de la route avec une barrière.

[14] Cf. El-Watan du 14 mai 2000.

[15] Plusieurs parents qui viennent nous voir en tant qu’enseignant nous ont parlés de cette situation et faits part de leur inquiétude face à ces salles de jeux qui s’implantent également aujourd’hui à côté des écoles.

Cite this article

CHAOUCHE, H. (2011). Le bilan de la scolarisation dans un village rural de Kabylie : 1958 – 1999. Le cas de Attouche. Insaniyat - Algerian Journal of Anthropology and Social Sciences, 15(54), 109–125. https://www.insaniyat.crasc.dz/en/article/le-bilan-de-la-scolarisation-dans-un-village-rural-de-kabylie-1958-1999-le-cas-de-attouche