Des structures urbaines à systèmes fonctionnels non équilibrés : cas de la ville d’Ouled Djellal en Algérie

Said HASSAINE (Auteur)
Abdellah FARHI (Auteur)
71 – 96
Varia 62
N° 62 — Vol. 17 — 31/12/2013

Introduction

L’étude d’une ville se trouvant affectée par le phénomène de ségrégation spatiale et fonctionnelle, et par conséquent son centre historique traditionnel se trouve dans une situation d’enclavement et de marginalisation, peut être abordée à partir de la combinaison de plusieurs approches méthodologiques. Chacune de ces dernières dispose de son support conceptuel variant de la grande subjectivité telle que l’approche psychosensorielle de K. Lynch (1976), jusqu’à l’objectivité rationnelle fondée sur les dernières théories comme l’approche fractale de la morphologie urbaine de P. Frankhauser (1994).

La ségrégation, en tant que concept à caractère phénoménologique susceptible d’avoir affecté notre objet d’observation, est de nature conjoncturelle, d’origine politique, sociologique, économique, historique ou culturelle. Ce concept, affectant la structure sociale d’une ville, se traduit sur sa structure matérielle en termes de désordre morphologique urbain. La ségrégation est un processus de différenciation spatiale en unités distinctes et différenciées, il implique quatre étapes : différenciation, rejet, exclusion et agrégation des semblables (Lefebvre, 1968). Ce processus donne souvent une organisation sectorielle ou zonale. L’espace urbain ségrégatif exprime le degré de différenciation socio-économique de la société dans sa globalité qui se manifeste en ville avec beaucoup plus d’intensité qu’il se manifeste en campagne. Cette différenciation socio-économique est d’autant plus intense que la taille de la ville est importante. La différenciation est la distinction des différences. Elle est aussi l'analyse du processus de la différenciation : spécialisation, apparition de la différence et son évolution jusqu'à l'individualisation. La relation dichotomique entre deux espace constitue une ségrégation multilatérale à l’exemple de noyau traditionnel/noyau colonial, quartier ancien/quartier moderne, etc.

En Algérie, dans le champ de l’urbanisme pratique, l’élaboration les plans directeurs d’aménagement et d’urbanisme (PDAU) et les plans d’occupation des sols (POS) apparus avec la Loi n° 90-29, continuent de pérenniser la traditionnelle démarche fonctionnaliste, loin de toute vision holistique au point  de les rendre obsolètes. Face à cette situation critique, le recours à l’analyse multicritères (AMC) revêt une importance capitale. Sa manipulation sur une toile de fond qui prend en considération toute la ville comme système opératoire, permet de saisir cette entité urbaine dans sa totalité et dans ses parties en allant des plus simples classifications jusqu’aux hiérarchisations complexes (Bertalanffy, 1980). La lecture et l’observation des zones de continuité ou de ruptures hypothétiques sur des instruments graphiques construits à partir de données statistiques, cartographiques et d’investigation sur terrain, renforcent la structure analytique engagée dans ce travail fondé sur le modèle de hiérarchisation fonctionnelle.

1. Méthodologie

L’analyse multicritères (AMC) consiste à déterminer les niveaux fonctionnels urbains selon une variable structurelle représentant les éléments structurants ponctuels formés par les districts de la ville. Ces éléments se composent de deux dimensions qui sont les équipements et les commerces et dont chacune se subdivise à son tour en un certain nombre de critères mesurables (Lefebvre, 1961). L’AMC est un outil aidant à la décision. Elle est également nommée « aide multicritère à la décision ». C’est au milieu des années 1970 qu’elle commença à connaître un développement important pour devenir un outil scientifique à part entière. Son principal pionnier est le mathématicien français Bernard Roy, créateur en 1974 du laboratoire d’analyse et modélisation de systèmes pour l’aide à la décision (LAMSADE, 2011). Son application est une réponse à la complexité urbaine. Elle cherche à déterminer le fonctionnement et les limites de l’espace urbain à partir d’un système de mesures. Celui-ci suggère que les données impliquées dans l’analyse soient toutes des données quantifiables. L’élargissement du nombre de critères pour la connaissance du phénomène considéré permet de faire entrer les dynamiques liées aux changements spatiaux dans la définition de la croissance urbaine d’une part, de l’autre de contrebalancer l’influence d’un indicateur par rapport à un autre et de le rendre réellement signifiant. L’analyse des variables statistiques permet de démontrer la présence de discontinuités spatiales et fonctionnelles dans l’espace. Ces variables sont le plus souvent obtenues à partir de recensements ou d’enquêtes sur le terrain. Elles forment un ensemble plus ou moins complexe qu’il est aisé de traiter avec les moyens les plus simples ou l’utilisation de logiciels comme le Système d’Information Géographique (SIG).

Le terme « critère » utilisé a ici le sens de juger, c’est aussi un caractère qui permet de distinguer une chose d’une autre, d’émettre un jugement ou une estimation. Le critère permet de réaliser un tri, de choisir, de servir de base de jugement. Pour aider les décideurs en aménagement spatial à trouver des solutions aux problèmes urbains, les critères ne doivent pas avoir tous le même poids. Aboutir à un résultat fiable et non tendancieux, nécessite leur pondération. Le secteur sanitaire dont la hiérarchie des équipements varie de la petite salle de soins pour un quartier jusqu’à l’hôpital dont l’aire d’influence peut couvrir le territoire national fournit un bon exemple (Djellal-Assari, 2004). Dans ce modèle analytique, la construction des critères et leur pondération ne sont jamais arbitraires.

La traduction des concepts hypothétiques en opérations de recherche, nous a conduit à construire les variables en empruntant une méthode d’origine sociologique qui repose sur les travaux de P. Lazarsfeld (1955, 1965), R. Boudon (1961, 1965), M. Rosenberg (1955) et H. Lefebvre (1961). Notre variable structurelle, constituée par les districts de la ville représentant les entités de base du recensement général de la population et de l’habitat (RGPH, 1998), se compose de deux dimensions : les équipements et les commerces. Son analyse permet de vérifier la variable conjoncturelle traduite en termes d’enclavement et de marginalisation du centre historique traditionnel ainsi qu’en dysfonctionnement urbain affectant la totalité de la ville. Ces deux variables, étroitement liées par des interactions, imposent la nature des dimensions, leur nombre, ainsi que leurs critères.

L’analyse des équipements se fera selon deux critères :

  • 1 Les équipements indifférenciés ou considérés dans l’absolu.
  • 2 Les équipements pondérés, ou considérés selon leur importance.

Quant aux commerces, leur analyse se fera selon six critères :

  • 1 Les commerces indifférenciés.
  • 2 La catégorie commerciale regroupant la restauration, la fonction libérale et services divers.
  • 3 La catégorie commerciale regroupant l’alimentation diverse, la réparation et la transformation, ainsi que les produits non consommables.
  • 4 La logique de la rareté commerciale selon le Modèle de DAVIES (Berry, 1967).
  • 5 La densité de commerces par hectare.
  • 6 le taux de commerces par 100 habitants.

La méthode consiste à établir d’abord une classification des districts selon chaque critère, ensuite définir les différents niveaux pour des ensembles de districts. Pour déterminer les niveaux des districts, une progression géométrique de raison 2 a été adoptée (2, 4, 8, 16, etc.). Cette suite de dédoublement successif, par les principes de structure et de niveau d’organisation conçoit que chaque niveau hiérarchique se trouve à la fois contenu dans le niveau supérieur et contenant le niveau inférieur (Jacob, 1975). Ou encore le principe de la hiérarchie systémique selon le nombre de configurations, dit principe de variété requise (Barel, 1971). Il est tout aussi nécessaire de travailler avec la progression arithmétique (2, 4, 6, 8, etc.) lorsqu’il s’agit de définir les niveaux synthétiques des districts ; on aura tout simplement à répartir les moyennes des niveaux précédemment hiérarchisés selon la progression géométrique. La détermination du niveau de chaque entité composante du système analysé est généralement liée à la hiérarchisation de tous les quartiers de la ville par rapport à un ensemble de critères distincts.

2. Cas d’étude

Ouled Djellal est une ville oasis située à 100 Km au sud-ouest de Biskra. Avec la ville voisine de Sidi Khaled, elle marque l’extrémité méridionale des Ziban. Sa population dépasse actuellement 60 000 habitants. Elle est le siège de Daïra composée de trois communes (Ouled Djellal, Chaïba, Doucen). Occupant une position stratégique dans le réseau urbain de cette région saharienne, elle constitue un passage obligé dans le grand raccourci territorial contournant au sud la ville de Biskra pour sortir sur la vallée de l’Oued Righ. Ses environs immédiats constituent le réservoir foncier intarissable et le centre d’accueil important pour une population en phase de transition de la vie semi-nomade à la vie sédentaire et de l’activité agro-pastorale à l’activité relevant des secteurs secondaire et tertiaire.

La ville a connu plusieurs époques historiques marquées par des moments de continuités et de ruptures morphologiques et fonctionnelles ayant affecté aussi bien le milieu physique que le milieu social. Sur l’itinéraire de la voie transsaharienne décrit par le voyageur El Ayachi au 17ème siècle, elle constituait une halte obligée pour les pèlerins allant du Maghreb extrême à la Mecque (Belhamissi, 1979). Son noyau historique traditionnel, recelant une grande diversité de valeurs architecturales et urbaines, se trouve actuellement enclavé et marginalisé sur le plan spatial et fonctionnel. Son centre colonial, dont les premières édifications remontent à 1885 en tant que Fort administratif et espace dominant, préserve ce statut structurel à titre d’espace central incarnant le véritable cœur de la ville. Quant à ses périphéries urbaines, elles reflètent une crise culturelle bien visible sur le cadre bâti et le mode de vie des habitants. La ville de nos jours souffre d’enclavement et de marginalisation de son noyau historique et de sa dégradation physique, ainsi que de périphéries urbaines sous-équipées et sans identité.

Ce travail s’inscrit dans la continuité d’une recherche micro régionale sur la Wilaya de Biskra et dont les résultats attribuent, sur le plan du système fonctionnel de son réseau urbain, le cinquième niveau à Ouled Djellal sur une échelle de huit niveaux (Farhi, 2001). Il parvient aussi comme une réponse opératoire à une recherche dirigée par Cote (2005) sur le fait urbain du Bas-Sahara algérien, faisant associer des chercheurs des Universités d’Aix-en-Provence et de Biskra. En s’interrogeant sur le fait urbain saharien, Cote remarque que les taux d’urbanisation des villes du sud-est algérien sont plus élevés que ceux des villes des territoires non sahariens, ainsi qu’une urbanisation nouvelle de par son ampleur, ses rapports avec l’environnement et ses formes contradictoires avec les typologies locales. De par ce constat, l’auteur interpelle les urbanistes sur la nécessité de restructurer les villes de cette région, y compris leurs centres historiques, et de recomposer leurs espaces ségrégés, surtout leurs périphéries urbaines.

Les données utilisées dans ce travail relèvent d’une enquête de terrain qu’on a effectuée en 2009. A travers les 40 districts formant la ville, on a localisé spatialement tous les équipements et les commerces sur le plan quantitatif et qualitatif. Pour la cartographie, on a travaillé sur des photos-contact de l’INCT, d’échelle 1/4000. Cependant, pour avoir une vision globale permettant de comparer entre l’importance fonctionnelle des districts, on a utilisé une seule carte réalisée par assemblage de 25 photos aériennes faisant couvrir toute la ville. Quant aux données démographiques, on a utilisé celles du RGPH de 1998 et 2008.

3. Les districts de la ville d’Ouled djellal : une répartition déséquilibrée des équipements

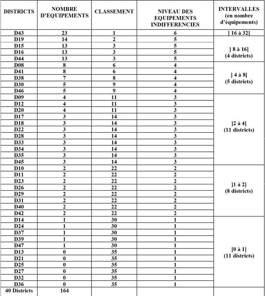
Selon notre enquête en 2009, le nombre d’équipements d’Ouled Djellal s’élève à 164, répartis spatialement comme montre la carte 1.

Carte 1 : Localisation spatiale des équipements de la ville d’Ouled Djellal

 

La répartition des équipements sur l’ensemble des districts et leur hiérarchisation permettent de mettre en exergue leurs niveaux partiels définis selon la logique de progression géométrique et leurs niveaux synthétiques selon la logique de progression arithmétique.

3.1. Les équipements indifférenciés : un grand écart quantitatif entre le centre colonial et le noyau historique

La répartition des niveaux des équipements indifférenciés (cf., tableau1), selon la progression géométrique de raison 2, de 0 équipement des six derniers districts, à 23 équipements du D43, définit 6 intervalles : [0 à 1] , ]1 à 2] , [2 à 4] , ]4 à 8] , ]8 à 16] , ]16 à 32] ; représentant les niveaux de 1 à 6. Concernant le centre colonial, ce tableau nous montre un district de niveau 6 (D43), en position détachée des quatre autres de même niveau ; trois districts de niveau 5 (D44, D16, D15) et un district de niveau 1 (D14). Le noyau historique traditionnel enregistre deux districts de niveau 4 (D8, D30), un district de niveau 3 (D9), trois districts de niveau 2 (D10, D11, D31) et un district de niveau 1 (D32). On remarque ainsi l’existence d’un grand écart entre les districts de niveaux 5 et 6 appartenant au centre colonial et ceux du noyau traditionnel relevant des nivaux 3, 2 et 1. Quant aux deux districts (D8, D30), ils n’ont pu occuper ce niveau moyen (4) que grâce au nombre important de petites mosquées historiques. Pour le reste, on a 30 districts, dont onze sont de niveau 1, situés dans l’espace péricentral de la ville, aux abords des zones de ruptures spatiales constituées par les cours d’eaux, et dix-neuf de niveau 2 et 3, dont une grande partie est située en  périphérie.

Tableau 1 : Classement et niveaux des districts de la ville d’Ouled Djellal selon le critère d’équipements indifférenciés

 
Source : S. Hassaine, 2010.

3.2 Les équipements pondérés : un grand écart qualitatif entre le centre colonial et le reste des quartiers de la ville.

Ce deuxième critère faisant classer les équipements selon leur importance, nous a permis de dégager cinq groupes dont chacun a été affecté d’un coefficient de pondération (K). En établissant les groupes selon leur poids, on s’est inspiré de la grille officielle des équipements rendant compte de leurs tailles et aires d’influence. La répartition hiérarchique de ces services urbains est cohérente avec le concept d’emboîtement des échelles propre à la conception systémique de la ville. Le tableau 2, portant le nombre d’unités de valeurs des équipements, calculé selon leurs coefficients de pondération, ainsi que la somme totale tout en suivant l’ordre numérique des districts de D8 à D47, nous a servi de base pour élaborer le tableau 3 du niveau des équipements pondérés. La répartition des niveaux de 0 unités de valeurs des six derniers districts, à 82 unités comme nombre maximal du D43, opérée selon le principe de la progression géométrique,  définit 6 intervalles : [0 à 5] , ]5 à 10], [10 à 20], ]20 à 40], ]40 à 80], ]80 à 160] ; représentant les niveaux de 1 à 6. Ce tableau, à l’instar du précédant, permet d’observer que ce sont les mêmes districts du noyau colonial qui occupent les deux plus hautes positions hiérarchiques. Le D43 maintient son niveau 6, les trois autres (D15, D16, D44) conservent le niveau 5, le D38 persiste au niveau 4. Quant au D19, apparu dans les débuts des années 1980, il continue d’occuper le niveau 5 précédent. Les districts du noyau traditionnel persistent dans des positions très basses, sauf le mieux positionné occupant le niveau 3 (D8). Pour les autres, il ya trois au niveau 2 (D30, D9, D11) et trois au niveau 1 (D10, D31, D32). Ce résultat montre que la courbe tendancielle est presque la même dans ces deux premiers critères. Les districts des plus hauts niveaux comme ceux des plus bas, conservent leur même position hiérarchique. Tandis que la majorité des autres districts, ont enregistré un déplacement vers le bas, et une petite minorité s’est déplacée vers le haut.

Tableau 2 : Évaluation et classement des districts de la ville d’Ouled Djellal selon le critère d’équipements pondérés


Source :
S. Hassaine, 2010.

Tableau 3 : Classement et niveaux des districts de la ville d’Ouled Djellal selon le critère d’équipements pondérés


Source :
S. Hassaine, 2010.

3.3. Le niveau synthétique des équipements : une répartition quantitative et qualitative non équilibrée

Nous avons défini le niveau synthétique des équipements (cf., tableau 4), selon le principe de progression arithmétique, s’agissant ici simplement de calculer la moyenne de la somme des deux niveaux précédents calculés selon le principe de progression géométrique. La répartition de cette moyenne de 1 à 6 dégage 6 intervalles : ≤ 1,5; ] 1,5 à 2,5] , ] 2,5 à 3,5] ,  ] 3,5 à 4,5] ,] 4,5 à 5,5] ,] 5,5 à 6,5] ; représentant les niveaux de 1 à 6. La carte 2 montre que les districts du centre colonial (D43, D15, D16, D44), ainsi que le D19 considéré comme péricentral vu sa localisation spatiale et sa taille occupent les deux plus hauts niveaux 5 et 6. Tandis que les districts du noyau traditionnel occupent le niveau 3 (D8, D30). Le niveau 2 est occupé par les districts D9 et D11, alors qu’au niveau 1 se trouvent les districts D10, D31 et D32.

L’on constate aussi l’existence d’un seul district au niveau 4 (D38), situé en contigüité avec le district D43 occupant le niveau 6. Ce dernier correspond au noyau colonial matriciel où se situait le Bordj administratif devenu ultérieurement le siège de la Daïra d’Ouled Djellal, confirmant par là le concept de persistance topique du lieu (Rossi, 1991). Quatre districts se partagent le niveau 5 (D15, D16, D44, D19), dont les trois premiers appartiennent au noyau colonial et le quatrième à la périphérie. Ce tableau ainsi que la carte 2 montrent divers ruptures au plan de la répartition des équipements existants sur les districts qui composent la ville d’Ouled Djellal. Ces déséquilibres se situent principalement au niveau sommital. Si les districts de niveau 5 supportent quantitativement le seul district de niveau 6, ils ne sont cependant pas supportés par un nombre suffisant de districts au niveau 4. Le seul district (D38) qui s’y trouve, traduit l’une des grandes faiblesses de cette répartition et par conséquent le dysfonctionnement du système urbain par rapport à cette importante dimension.

Tableau 4 : Classement et niveau synthétique des équipements de la ville d’Ouled Djellal


Source :
S. Hassaine, 2010.

Carte 2 : Niveau synthétique des équipements de la ville d’Ouled Djellal

4. Une ségrégation commerciale quantitative et qualitative

L’identification des différents niveaux commerciaux, fait appel à l’usage de plusieurs critères indispensables pour la fiabilité des résultats de synthèse. Pour déterminer ces niveaux, cinq familles de commerce ont été préalablement réparties dont chacune regroupe des activités commerciales de même nature. Alors, s’est faite la distinction du commerce de l’alimentation générale (C1) ; le commerce de réparation et de transformation (C2) qui regroupe l’artisanat, la mécanique, les menuiseries, etc. ; le commerce de restauration (C3) ; le commerce des produits non consommables regroupant les matériaux de construction et le matériel d’entretien (C4) ; et enfin le commerce de fonction libérale et de service (C5). Cette répartition est prise en charge par un tableau synoptique regroupant les 1482 commerces que compte la ville. Nous tenons à présenter le tableau récapitulatif des six niveaux (cf., tableau 5), définis selon la progression géométrique nécessaire à l’élaboration du niveau synthétique commercial.

Tableau 5 : Niveaux partiels des districts de la ville d’Ouled Djellal selon la dimension commerciale

 
Source : S. Hassaine, 2010.

4.1. Le niveau synthétique commercial : une ségrégation quantitative et qualitative affectant tous les quartiers

Le niveau synthétique commercial, établi sur la base d’une récapitulation des niveaux relatifs aux six critères, dégage six intervalles : ≤1,5 , ] 1,5 à 2,5] , ] 2,5 à 3,5] , ] 3,5 à 4,5] , ] 4,5 à 5,5] , ] 5,5 à 6,5] (cf. tableau 6) ; correspondant aux niveaux 1 à 6. Montrant par conséquent l’existence de cinq districts du centre colonial dont un au niveau 6 (D15) et quatre au niveau 5 (D14, D44, D16, D43). Il se fait apparaître un deuxième district de niveau 6 (D38), représentant l’extension du D43, partageant avec le D15 le sommet de cette hiérarchie commerciale. Quant au noyau traditionnel, il enregistre deux districts au niveau 5 (D11, D30), deux au niveau 4 (D9, D8), un district au niveau 2 (D10) et deux au niveau 1 (D31, D32).

La carte 3 montre une logique quantitative au sein des trois derniers niveaux (4, 5, 6), avec la suite progressive de 2, 6 et 11 districts par niveau. Cependant, l’absence de districts de niveaux 3 et 2, censés former les espaces péricentraux entre ceux des deux niveaux sommitaux (5 et 6) et ceux du niveau 4, porte atteinte à la logique de répartition spatiale des districts selon la théorie des lieux centraux fondée par le géographe allemand W. Christaller en 1933 (Prost,1965), établie pour un réseau de villes et qu’on essaie d’interpréter à l’échelle intra urbaine. L’on observe aussi qu’à partir du niveau 4 jusqu’au niveau 1, la logique s’inverse et chacun des niveaux hiérarchiques commence à dominer moins de districts de niveau inférieur. Cette situation paradoxale montre que la dimension commerciale est en contradiction avec le principe de hiérarchisation et de subordination des différentes parties de la ville considérée comme système entretenant son propre équilibre.

Tableau 6 : Classement et niveau synthétique commercial des districts d’Ouled Djellal


Source :
S. Hassaine, 2010.

Carte 3 : Niveau synthétique commercial de la ville d’Ouled Djellal

5. Système fonctionnel d’Ouled Djellal : hypercephalie de l’espace central, absence de centralités secondaires et dysfonctionnement urbain global

Le niveau synthétique de la variable structurelle construite sur les deux dimensions conjoncturelles « Equipements » et « Commerces » (Cf. tableau 7), définit cinq intervalles : ≤1,5 ;] 1,5 à 2,5] , ] 2,5 à 3,5] , ]3,5 à 4,5] , ]4,5 à 5,5] ; correspondants aux niveaux hiérarchiques de 1 à 5.  Ce tableau du système fonctionnel de la ville montre sur les cinq districts du centre colonial, quatre sont de niveau 5 (D43, D15, D16, D44) et un district de niveau 3 (D14). Quant au noyau historique, composé de 7 districts, la hiérarchisation fonctionnelle en révèle l’existence d’un seul au niveau 4 (D30), trois au niveau 3 (D8, D11, D9) et trois au plus bas niveau 1 (D10, D31, D32). Sachant que l’occupation des niveaux 3 et 4 par les quatre districts de ce dernier, ne s’explique que par la percée urbaine commerciale, opérée en 1975 dans ce quartier.

Le modèle théorique pyramidal du système fonctionnel (cf., figure 1), montre que le centre colonial s’impose comme espace central de la ville actuelle. Les districts du noyau traditionnel varient des plus marginaux et enclavés, à celui occupant une centralité intermédiaire à vocation commerciale (D30). Quant aux districts n’ayant pas de relation spatiale avec la percée urbaine, se voient occuper les plus bas niveaux. L’importance de ce fait s’accorde avec la possibilité d’orienter la planification urbaine comment promouvoir les districts au moins au niveau 4 pour alléger le centre colonial et faire sortir le noyau historique de sa situation d’enclavement et de marginalisation spatiale impliquant une très forte ségrégation sociale. Quant aux districts périphériques, la carte 4 montre que cette catégorie est classée dans les trois derniers niveaux (1, 2, 3). La localisation spatiale des districts appartenant aux trois derniers niveaux révèle l’existence d’un véritable dysfonctionnement urbain. Il se traduit par une rupture fonctionnelle bien lisible entre ceux-là et les districts limitrophes du centre colonial occupant le niveau le plus élevé. Entre les deux entités voisines, se fait apparaître un écart de deux et même de trois niveaux hiérarchiques. L’espace entourant le centre colonial régresse vers la périphérie des niveaux 3, 2 et 1, sans même passer par le niveau 4 que nous considérons comme support de la continuité fonctionnelle et de la justice spatiale respectant le principe élémentaire de la hiérarchie systémique urbaine du modèle intra-urbain théorisé par Caniggia (1994).

La superposition du modèle théorique aux résultats de cette analyse montre le déséquilibre pyramidal du système fonctionnel d’Ouled Djellal. Différentes zones pathologiques sont mises en exergue. La première se traduit par la très forte macrocéphalie urbaine sommitale représentée par les cinq districts de niveau 5. Le regroupement de ces derniers dans le même espace constitué par le centre colonial, ainsi que l’existence seulement de deux districts au niveau 4 (D19, D30), accentuent non seulement l’hypertrophie de ce quartier, mais révèle aussi l’hypotrophie des zones intermédiaires et l’absence de centralités secondaires nécessaires à l’équilibre de la ville. Par contre, la deuxième pathologie démontre l’une des plus grandes faiblesses du système fonctionnel urbain de cette ville moyenne. Elle se situe au niveau de la base avec seulement sept districts et une très forte hypotrophie basique.

La ville actuelle mène une bataille en retraite contre le phénomène de ségrégation spatiale et fonctionnelle. On est en présence d’un noyau traditionnel marginalisé, un centre colonial fonctionnellement hypertrophié et des périphéries urbaines mal structurées et sous équipées. Le rapport entre ces deux entités historiques se pose en termes dichotomiques. De par leur détachement spatial, s’y manifestent des ruptures physiques, notamment la permanence du tracé des cours d’eau, et des ruptures morphologiques affectant le bâti et le tissu urbain. Cette ségrégation nous semble constituer une permanence historique affectant tout le processus d’évolution urbaine de la ville d’Ouled Djellal depuis l’occupation coloniale de la ville historique traditionnelle jusqu’à nos jours. Se manifestant ainsi des ruptures morphologiques traduites sur le réseau viaire, les formes architecturales et les configurations urbaines. Face à une trame organique, on assiste à une trame géométrique régulière. En dépit d’une production architecturale ancestrale caractérisée par la stabilité et la continuité morphologique, on observe de nouvelles formes de bâti et de tissus urbains en quête d’une identité non retrouvée.

Nous pensons que ce dysfonctionnement urbain généré par le détachement des deux plus anciennes entités morphologiques ainsi que par le changement accéléré du mode de vie des habitants et la défaillance des instruments d’urbanisme, ne pourrait être absorbée que par le concept de ségrégation spatiale due à la conception atomique de la ville. Malgré les mutations socio-économiques profondes, le tissu traditionnel continue de pérenniser la fonction initiale non adaptée aux moyens de transport de notre époque. Quant à l’extension péricentrale et périphérique de l’Indépendance à nos jours, bien qu’elle réponde à beaucoup de besoins contemporains, en s’inscrivant dans la même logique de la rectitude viaire hérité de l’urbanisme colonial, elle accuse des surdimensionnements dans la voirie et les espaces publics spectaculaires. Les rues, de par leur largeur constituent de véritables frontières entre les îlots. Sans pour autant que leur bâti soit capable de protéger contre beaucoup de facteurs climatiques surtout le vent et l’ensoleillement.

Tableau 7 : Classement et niveau synthétique fonctionnel de la ville d’Ouled Djellal


Source : S. Hassaine, 2010.

Figure 1 : Pyramide du niveau synthétique fonctionnel de la ville d’Ouled Djellal

Source : S. Hassaine, 2010.

Carte 4 : Niveau synthétique fonctionnel de la ville d’Ouled Djellal

Conclusion

En démontrant que la ville d’Ouled Djellal présente une situation de ségrégation spatiale et fonctionnelle, l’on démontre par conséquent que son noyau historique souffre du phénomène d’enclavement et de marginalisation au sein de la structure globale, ainsi que l’existence d’un dysfonctionnement urbain qui se traduit par une répartition inégale des équipements et des commerces à travers beaucoup de ses districts. Pour remédier à cette situation pathologique affectant son système fonctionnel non équilibré, l’on recommande la promotion de la ville au sixième rang. Cette promotion lui permet de jouer un rôle polarisant assurant l’équilibre micro régional en participant à l’allégement du poids que supporte actuellement le chef-lieu de Wilaya (Biskra). Les opérations attendues à l’échelle intra-urbaine faisant promouvoir son armature spatiale du niveau 5 au niveau 6, feront générer des centralités secondaires structurant mieux la ville actuelle. Certains districts du noyau historique devraient être érigés au niveau 4 (D08, D09, D11). Les districts de la périphérie nord-est (D20, D21, D25) et les districts de la périphérie sud-ouest (D33, D35) devraient aussi promouvoir au niveau 4. La promotion projetée de ces districts appartenant à différentes localisations spatiales est cohérente avec les modèles de hiérarchisation structurelle élaborés en théories urbaines et spatiales. Notamment la théorie des lieux centraux de W. Christaller (1933), cherchant à expliquer la hiérarchie des villes selon leurs tailles, leurs localisations et leurs fonctions (Prost, 1965) ; ainsi qu’avec le modèle intra-urbain de Caniggia (1994), généré par le phénomène de dédoublement successif de la croissance spatiale de la ville.

Dans le cadre d’une opération de restructuration urbaine censée corriger le dysfonctionnement affectant certaines parties de la ville, nous souhaitons de consolider surtout leur fonction tertiaire. Nous envisageons ainsi une structure polycentrique hiérarchisée à quatre centres urbains. D’abord, maintenir la centralité spatiale maximale de niveau 5, formée par l’espace central actuel constitué par les districts du centre colonial. Ensuite, trois centralités secondaires dont leurs districts devront être de niveau 4. La première devrait se localiser dans la partie nord-est de la ville (D20, D21, D22), correspondant à la zone de croissance urbaine des années 1950, apparue en détachement du noyau colonial et du noyau traditionnel. La deuxième, dans la partie sud-ouest (D33, D35), apparue aussi dans les mêmes conditions historiques et spatiales que la première. La troisième, au niveau du noyau traditionnel, autour de la percée urbaine de 1975 (D08, D09, D11, D30). Enfin, entre ces quatre centralités spatiales, devront exister des districts de niveau 3, marquants les espaces péricentraux. Quant aux districts de niveau 1 et 2, ils trouveront leurs places dans l’espace périphérique de la ville.

Bibliographie

Barel, Y. (1971), Prospective et analyse de système, Paris, Délégation à l’Aménagement du Territoire et à l’Action Régionale (DATAR), coll. Tavaux et Recherche de Prospectives. Schéma général d’aménagement de la France.

Belhamissi, M. (1979), Al Djazair min khilali raahalat al-Maghariba fi Al-ahd Al-othman (l'Algérie à travers les voyageurs maghrébins à l’époque Ottomane), ouvrage en langue arabe, Alger, SNED.

Bertalanffy, L.-V. (1980), Théorie générale des systèmes, Paris, série Dunod, Bordas.

Berry, B. (1967), Geography of market centers and retail distribution, Englewood Cliffs: Prentice Hall. Trad. Fr. de Marchand, B. (1971), Géographie des marchés et du commerce de détail, Paris, Armand Colin.

Boudon, R. (1961), Les méthodes en sociologie, Paris, PUF, coll. Que sais-je ?

Caniggia, G. (1994), Lecture de Florence, Bruxelles, Institut Supérieur d’Architecture Saint-Luc Bruxelles.

Christaller, W. (1933), Die zentralen Örte in Süddeutschland, Jena,Gustav Fischer.

Côte, M. (2005). « La ville et le désert, le bas-Saharien algérien », Aix-en-Provence-Paris, Côte, M. (directeur scientifique), Alkama, D., Ballais J.-L., Belguidoum, S., Bensaad, A., Farhi A., Mazouz, S., Rousseau, V., Paris, Karthala-IREMAM.

Djellal-Assari, N. (2004), Le rôle des activités de service dans l’organisation et la structuration spatiales d’Alger, thèse de doctorat d’Etat en urbanisme, Ecole Polytechnique d’Architecture et d’Urbanime, Alger.

Farhi, A. (2001), « Macrocéphalie et pôles d’équilibre : la wilaya de Biskra », in Espace Géographique, n° 2001/3, Paris, éd. Belin, p. 245-255.

Frankhauser, P. (1994), La fractalité des structures urbaines, Paris, Anthropos, coll. Villes.

Jacob, F. (1975), La logique du vivant, une histoire de l’hérédité, Mayenne, éd. Gallimard.

LAMSADE-CNRS UMR 7243-Université Paris Dauphine (2011), Internet : http://www.lamsade.dauphine.fr

Lazarsfeld, P., Rosenberg, M. (1955), “The language of social research: A reader in the methodology of social research”, Glencoe, The Free Press.

Lazarsfeld, P., Boudon, R. (1965), Le vocabulaire des sciences sociales, concepts et indices, Paris/La Haye, Mouton.

Lefebvre, H. (1961), Critique de la vie quotidienne, t. 2 : Fondement d’une sociologie de la quotidienneté, Paris, L’Arche Editeur, coll. Le sens de la marche.

Loi n° 90-29 du 1er décembre 1990 relative à l’aménagement et l’urbanisme. Journal Officiel de la République Algérienne, n° 52, Imprimerie Officielle, Alger.

Lynch, K. (1976), L’image de la cité, Paris, Bordas.

RGPH de la ville d’Ouled Djellal de 1998. Office National des Statistiques, Alger.

Rossi, A. (1991), L’architecture de la ville, Paris, l’Equerre, coll. Formes urbaines.

Roy, B. (1985), Méthodologie multicritère d’aide à la décision, Paris, Economica.

Prost, M.-A. (1965), La hiérarchie des villes en fonction de leurs activités de commerce et de service. Paris, Gauthier-Villars.

URBA (Bureau d’Étude et de Réalisation en Urbanisme de Batna), POS n°5 de la ville d’Ouled Djellal (2000) : « Restructuration et rénovation de l’ancien noyau », Batna.

Cite this article

HASSAINE, S. & FARHI, A. (2013). Des structures urbaines à systèmes fonctionnels non équilibrés : cas de la ville d’Ouled Djellal en Algérie. Insaniyat - Algerian Journal of Anthropology and Social Sciences, 17(62), 71–96. https://www.insaniyat.crasc.dz/en/article/des-structures-urbaines-a-systemes-fonctionnels-non-equilibres-cas-de-la-ville-douled-djellal-en-algerie